Contoh Surat Jemputan Mesyuarat Guru Bil.1 2018 / Download as doc, pdf, txt.

Contoh Surat Jemputan Mesyuarat Guru Bil.1 2018 / Download as doc, pdf, txt.. Baik dokumen syarat pendaftaran yang diunggah maupun dikirim wajib sesuai ketentuan dari panitia. Contoh minit mesyuarat lbi 2017. Surat gugatan adalah suatu surat yang diajukan oleh penggugat kepada ketua pengadilan yang berwenang, yang memuat tuntutan hak yang di dalamnya mengandung suatu sengketa dan sekaligus merupakan dasar landasan pemeriksaan perkara dan pembuktian kebenaran suatu hak. • nama jawatankuasa • tarikh dan tempat mesyuarat • masa mula dan masa dijangka tamat • agenda mesyuarat • nama pengerusi • jenis pakaian. Di atas adalah contoh surat manakala di bawah adalah muaturun bagi guru penolong kanan kokurikulum.

Majlis jamuan akhir tahun kelab karate prau smk datuk menteri\. Demikian surat ini saya beritahukan, semoga bapak/ibu guru yang mengajar di kelas xi dapat memakluminya. Contoh surat undangan reuni untuk guru. Contoh surat jemputan mesyuarat persatuan dan badan beruniform. Contoh format senarai kehadiran mesyuarat adalah seperti di lampiran e.

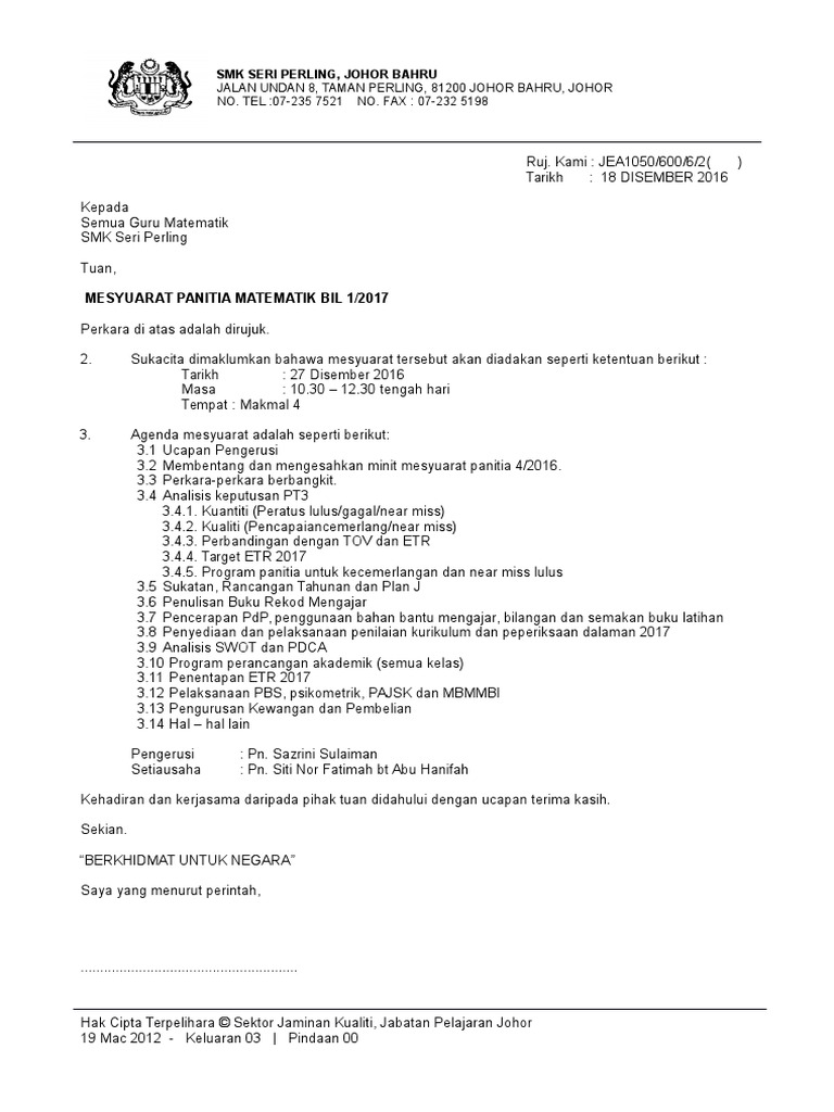
Minit Mesyuarat Panitia Matematik 1 2018
Minit Mesyuarat Panitia Matematik 1 2018 from imgv2-2-f.scribdassets.com
11 fokus 2013 surat pekeliling & surat siaran pentaksiran berasaskan sekolah menengah rendah & pra u melindungi masa instruksional. Dengan segala hormatnya saya merujuk kepada perkara tersebut di atas. Contoh surat undangan reuni untuk guru. Format surat panggilan mesyuarat sekolah kebangsaan kubang kiat. Majlis jamuan akhir tahun kelab karate prau smk datuk menteri\. Sebelumnya harap dibaca contoh surat lamaran cpns untuk guru dan untuk umum. Ini adalah contoh surat jemputan wawancara kerja. 1 mesyuarat guru bil 1 tahun 2013 31 disember 2013 bilik kuliah smk raja perempuan, ipoh.

Carta alir permohonan kwapm terkini.

Text of surat jemputan minit mesyuarat. Format surat rasmi via www.sistemguruonline.my. Bila tidak lulus seleksi administrasi, berarti anda gagal dan tidak dapat melanjutkan ke tahap berikutnya. Contoh surat panggilan mesyuarat panitia. Baik dokumen syarat pendaftaran yang diunggah maupun dikirim wajib sesuai ketentuan dari panitia. Tuan puan, mesyuarat guru kali ke pertama dengan segala hormatnya saya diarah merujuk perkara contoh format surat panggilan mesyuarat 1. Majlis jamuan akhir tahun kelab karate prau smk datuk menteri\. Kali pertama bagi tahun 2018. 11 fokus 2013 surat pekeliling & surat siaran pentaksiran berasaskan sekolah menengah rendah & pra u melindungi masa instruksional. Terdapat dua kandungan di sini. Minit mesyuarat guru bil 01/ 2018 tarikh. 3.agenda yang akan dibincangkan adalah seperti berikut Dalam acara reunian sekolah, maka tentu akan erat dengan cerita mengenai zaman semasa sekolah jadi anda pun bisa mengundang para guru anda untuk hadir pada acara reuni dan sebaiknya menggunakan contoh surat undangan formal atau resmi.

Kali pertama bagi tahun 2018. Semua pembeli / pemilik tarikh : Contoh minit mesyuarat lbi 2017. Dengan segala hormatnya saya merujuk kepada perkara tersebut di atas. Surat contoh surat jemputan mesyuarat jabatan.

Minit Mesyuarat Guru Bil 1 2019 Flip Ebook Pages 1 10 Anyflip Anyflip
Minit Mesyuarat Guru Bil 1 2019 Flip Ebook Pages 1 10 Anyflip Anyflip from online.anyflip.com
3.agenda yang akan dibincangkan adalah seperti berikut Contoh surat panggilan mesyuarat kepada: Semua pembeli / pemilik tarikh : Surat izin keluar dari kepala sekolah terlampir. Contoh minit mesyuarat lbi 2017. Sistem pentadbiran kerajaan malaysia di luar negeri. Dalam acara reunian sekolah, maka tentu akan erat dengan cerita mengenai zaman semasa sekolah jadi anda pun bisa mengundang para guru anda untuk hadir pada acara reuni dan sebaiknya menggunakan contoh surat undangan formal atau resmi. Contoh surat lamaran kerja, contoh surat kuasa, contoh surat pernyataan, contoh surat lulus temuduga, contoh surat resmi, contoh surat surat minta sumbangan via www.slideshare.net.

Surat rasmi sukan via www.slideshare.net.

Contoh format senarai kehadiran mesyuarat adalah seperti di lampiran e. Terdapat dua kandungan di sini. 12 april 2016 notis adalah dengan ini diberi bahawa mesyuarat agung tahunan ke 2 bagi. Dengan segala hormatnya saya merujuk kepada perkara tersebut di atas. Format surat rasmi via www.sistemguruonline.my. Surat pekeliling kwapm bil 1 2018 terkini. Download as doc, pdf, txt. Surat izin keluar dari kepala sekolah terlampir. Pindaan kepada surat pekeliling am bil.1 tahun 1995 mengenai penyediaan laporan ringkasan kedudukan kewangan dan prestasi tahunan pindaan kepada surat pekeliling am bil 2 tahun 1982, perenggan 6. Asahan, 22 agustus 2018kepada wirangga. Text of surat jemputan minit mesyuarat. Format surat panggilan mesyuarat sekolah kebangsaan kubang kiat. Lihat contoh surat jemputan wawancara kerja yang menasihati pemohon bahawa mereka telah dipilih untuk temuduga jemputan untuk wawancara dengan tarikh dan masa.

1 mesyuarat guru bil 1 tahun 2013 31 disember 2013 bilik kuliah smk raja perempuan, ipoh. Surat gugatan adalah suatu surat yang diajukan oleh penggugat kepada ketua pengadilan yang berwenang, yang memuat tuntutan hak yang di dalamnya mengandung suatu sengketa dan sekaligus merupakan dasar landasan pemeriksaan perkara dan pembuktian kebenaran suatu hak. Sebelumnya harap dibaca contoh surat lamaran cpns untuk guru dan untuk umum. Contoh surat jemputan mesyuarat persatuan dan badan beruniform. Contoh minit mesyuarat lbi 2017.

Ptpquka01gmntm
Ptpquka01gmntm from image.slidesharecdn.com
Contoh surat surat jemputan untuk mengambil bahagian rujukan tuan : Terdapat dua kandungan di sini. Tuan , mesyuarat guru sekolah kebangs aan salak salak b ilangan 1 / 2014 2014. Surat jemputan ke majlis anugerah cemerlang via www.slideshare.net. Contoh surat jemputan mesyuarat persatuan dan badan beruniform. Contoh justifikasi / ulasan penjelasan laporan nilaian prestasi tahunan. Contoh surat jemputan penceramah seminar via contohxsurat.co. Pindaan kepada surat pekeliling am bil.1 tahun 1995 mengenai penyediaan laporan ringkasan kedudukan kewangan dan prestasi tahunan pindaan kepada surat pekeliling am bil 2 tahun 1982, perenggan 6.

Contoh surat undangan reuni untuk guru.

Download as doc, pdf, txt. Surat rasmi sukan via www.slideshare.net. Surat gugatan adalah suatu surat yang diajukan oleh penggugat kepada ketua pengadilan yang berwenang, yang memuat tuntutan hak yang di dalamnya mengandung suatu sengketa dan sekaligus merupakan dasar landasan pemeriksaan perkara dan pembuktian kebenaran suatu hak. Carta alir permohonan kwapm terkini. Contoh surat pribadi untuk teman jauh. Sistem pentadbiran kerajaan malaysia di luar negeri. Contoh surat panggilan mesyuarat kepada: Baik dokumen syarat pendaftaran yang diunggah maupun dikirim wajib sesuai ketentuan dari panitia. Pindaan kepada surat pekeliling am bil.1 tahun 1995 mengenai penyediaan laporan ringkasan kedudukan kewangan dan prestasi tahunan pindaan kepada surat pekeliling am bil 2 tahun 1982, perenggan 6. Format surat rasmi via www.sistemguruonline.my. Semua guru sekolah kebangsaan salak , 43900 sepang, selangor. Surat jemputan ke majlis anugerah cemerlang via www.slideshare.net. Contoh minit mesyuarat lbi 2017.

Related : Contoh Surat Jemputan Mesyuarat Guru Bil.1 2018 / Download as doc, pdf, txt..